|
|
|
|
|
科学家发现源于电子拓扑量子态与维度依赖的直接电流反常霍尔效应 |
|
|
2025年1月17日,华中科技大学常海欣教授团队在Matter期刊发表了一篇题为“Immediate ultrasmall current-tunable anomalous Hall effect”的研究成果。
该成果设计了一种新型二维范德华室温铁磁量子晶体—铁锗镓碲(Fe5Ge0.8Ga0.2Te2, 缩写为FGGT),其费米面附近存在丰富的类外尔(Weyl-like)量子态拓扑电子结构,并在此基础上发现了维度、晶体原子层数依赖的直接电流反常霍尔效应,为揭示、调控凝聚态物质中自旋的拓扑/几何性质与研究时空维度的本质提供了一条量子途径。
论文通讯作者是常海欣,杨丽、武浩、郭飞博士为共同第一作者。
反常霍尔效应(anomalous Hall effect, AHE)是现代自旋电子学和下一代量子器件的重要组成部分。反常霍尔效应经常在时间反演对称性破缺的铁磁体里面出现,也在一些非共线反铁磁材料里面出现,通常与自旋轨道耦合(spin-orbit coupling, SOC)有很大关联。通过电学方法直接调节传统磁性材料中的自旋轨道耦合或本征反常霍尔效应仍然是一个巨大的挑战。电控反常霍尔效应提供了一种调控自旋拓扑/几何性质的重要的途径,但是迄今为止,传统物质体系中反常霍尔效应的直接、即时电流调控仍然难以实现,且鲜有报道。
在这项工作中,华中科技大学材料学院常海欣教授团队成功生长了新型室温二维范德华铁磁量子晶体FGGT。理论研究揭示二维FGGT量子晶体费米面附近存在大量的类外尔量子态电子拓扑结构,费米面轻微移动可造成贝利(Berry)曲率和AHE的巨大变化。实验上发现,二维FGGT铁磁量子晶体中存在直接、即时、多值、非线性的超小电流调控反常霍尔效应。该效应源自二维量子极限下由二维SOC引发的节点电子拓扑量子态结构的内在敏感性,可以在超小电流(~102 A cm-2)下实现AHE的调控,并在2-300K的宽温度范围内有效。反常霍尔电阻(RAHE)的多值电调节((RAHE1)/(RAHE2)*100%)最高可达584%,室温下保持在126%。RAHE与Rxx之间的平方相关性表明反常霍尔效应是由自旋轨道耦合主导的贝里曲率引起的。特别值得指出的是,霍尔效应里面的大多数电子拓扑或量子效应仅在低温下发生,而二维FGGT量子晶体中的直接电流反常霍尔效应甚至在室温下也能观察到。这种直接电流反常霍尔效应同时具有明显的维度、晶体原子层数和电子拓扑量子态依赖性,为探讨时空维度的本质以及低功耗自旋电子学和类脑量子器件提供了独特的量子平台。

图1:FGGT量子晶体单晶的结构表征。

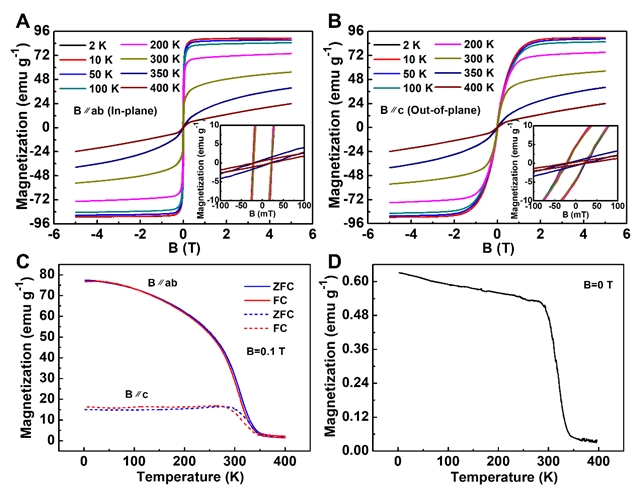
图2:块体FGGT量子晶体单晶的磁性特征。

图3:FGGT二维铁磁量子晶体的原子层数/电流依赖的电磁输运特性。

图4:少层FGGT量子晶体中的直接电流反常霍尔效应。

图5:考虑自旋轨道耦合的块体和双层FGGT量子晶体的第一原理DFT计算。
鉴于其同时对维度、晶体原子层数与电子拓扑量子态结构的显著的敏感依赖性,直接电流反常霍尔效应可能打开一扇量子窗口去探究时空维度的秘密,并可能促进量子力学与广义相对论的融合研究。这种同时对拓扑量子态、晶体原子层数、时空维度敏感的量子晶体也为发展新型量子存储与量子计算器件奠定了基础。(来源:科学网)
相关论文信息:https://doi.org/10.1016/j.matt.2024.101940