结构微纳形貌是制备多功能器件中除材料特性外必须要考虑的基本要素,它与使用的微纳加工工具密切相关。以广泛应用于工业及前沿科技领域的激光硬质材料加工技术为例,它是通过聚焦激光产生局域的高温高压,使材料熔化、气化、等离子体化形成多种多样的微纳结构,已经成为激光硬质材料加工的重要研究内容,引出了一系列基于麦克斯韦方程和马兰戈尼效应的双(三)温模型、等离子体压印模型、结构反馈理论等重要的结构成形物理机制,在表面工程学、光学等领域取得了重大进展。
最近,北京理工大学的徐可米教授团队和吉林大学的王磊副教授团队发现超快激光加工中除了形貌变化之外,激光光场还会诱导材料的化学键发生变化,使化合物材料分解并导致元素单质的空间定向分离,通过实验和第一性原理理论分析,共同提出了一种超快激光表面活化技术,可用于空间选择性银纳米结构还原形成Ag-GaAs金属半导体复合表面。为此,可以利用这种技术实现表面增强拉曼散射(SERS),对微量探针分子实现测量。
该研究成果以“Ultrafast laser-induced decomposition for selective activation of GaAs“为题,在线发表于Light: Advanced Manufacturing。
实验中利用飞秒激光诱导辐照砷化镓(GaAs)表面,并分别用扫描电子显微镜和X射线能谱(XPS)对表面结构和化学键进行了分析。如图1所示,随着脉冲数和能量的变化,飞秒激光诱导的表面周期性结构依次产生,可以分为近亚波长结构(NSWS)、深亚波长结构(DSWS)和尖峰结构。而随着脉冲能量的改变,周期性结构表面的As:Ga元素比也会发生改变:在单脉冲能量小于10μJ之前,As:Ga元素比与未辐照时一致;在观察到可见表面破坏之前(20μJ),As:Ga元素比会逐渐增加;当单脉冲能量再高时,As:Ga元素比会急剧上升并在100μJ后逐渐趋于饱和,稳定在接近6:1左右。

图1:飞秒光诱导砷化镓(GaAs)分解。(a)原理; (b)诱导产生的表面周期性结构;(c)不同功率下的表面As:Ga原子比。
飞秒激光诱导砷化镓分解分为三个步骤,如图2(a)所示:(1)光吸收,(2)化学键断裂二元分解,(3)元素单质扩散。为分析超快激光诱导化合物元素分解过程,首先通过氩离子束刻蚀法及XPS对所诱导周期性结构的不同深度下的As:Ga元素比进行分析,发现结构表面的原子比约为4.5,该值随深度显著下降,并在深度约350 nm处与未作用的GaAs元素比例一致。然而,该值会随深度出现反转,呈现Ga多As少的状态。直到深度接近9μm之后,As:Ga比才恢复到与未激光作用的GaAs元素比。

图2:飞秒激光诱导过程及轴向不同深度As:Ga原子比
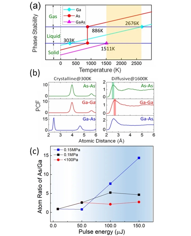
飞秒激光诱导砷化镓分解可以用第一性原理来解释。在利用飞秒激光作用GaAs的过程中,当温度高于1600K时,GaAs会倾向于分解成Ga单质和As单质(如图3(b)所示);与此同时,As单质会迅速从固体升华(886K),获得极高的扩散速度,会迅速由体内被抽运至表面附近;相比较的,Ga原子从303到2676 K都以液体形式存在,扩散速度较As单质较慢,极端情况下可认为Ga单质不移动。结果就是,As原子不断从整体向表面移动,会被冻结到表面附近,造成表面富As、内部富Ga的最终结果。

图3:第一性原理分析超快激光诱导分解原理
为了验证该假设,实验测试了不同气压下的(100Pa, 0.1MPa, 0.15MPa)的表面As:Ga元素比。根据理想气体定律和查尔斯定律分析,较高的气压P会导致较高的熔点/沸点/升华点T;同时气压越高,就会显著元素降低从表面逃逸的速度,导致更多的As单质聚集于表面。在激光接近阈值能量时,表面As:Ga元素比随着气压的增加几乎不变,而随着激光能量的增加,表面As:Ga元素比随着气压的增加逐渐增加,并最终趋于饱和,最高可以达到14.4(150μJ,0.15MPa),与理论定性分析一致。
利用飞秒激光可以定点对GaAs表面实现图案化和元素分解,通过与化学还原反应结合,可以形成金属-半导体化学键。如图4所示为制备的银-砷化镓杂化结构,可用于表面增强拉曼光谱分析。

图4:Ag-GaAs杂化结构及表面增强拉曼(SERS)结果
本文研究了飞秒激光诱导的二元化合物元素分解及单质定向迁移,并利用第一性原理对其成因进行了理论分析。所提出的激光诱导GaAs选择性激活技术可以扩展到其他二元半导体,从而为表面化学键、太阳能电池技术以及传感和检测应用提供加工选择。(来源:先进制造微信公众号)
相关论文信息:https://doi.org/10.37188/lam.2024.026
特别声明:本文转载仅仅是出于传播信息的需要,并不意味着代表本网站观点或证实其内容的真实性;如其他媒体、网站或个人从本网站转载使用,须保留本网站注明的“来源”,并自负版权等法律责任;作者如果不希望被转载或者联系转载稿费等事宜,请与我们接洽。