|
|
|
|
|
FOP | 前沿进展 昆士兰科技大学寇良志组 :二维Janus范德华异质结 |
|
|
论文标题:Two-dimensional Janus van der Waals heterojunctions: A review of recent research progresses (前沿进展 昆士兰科技大学寇良志组 :二维Janus范德华异质结)
期刊:Frontiers of Physics
作者:Lin Ju(鞠林), Mei Bie, Xiwei Zhang, Xiangming Chen, Liangzhi Kou(寇良志)
发表时间:14 September 2020
DOI:10.1007/s11467-020-1002-4
微信链接:点击此处阅读微信文章
二维Janus范德华异质结特指异质结的至少一种材料是Janus材料。这样的异质结具有可调控的电子结构、宽的光吸收谱、可控接触电阻、内禀极化和独特层间相互作用导致的高氧化还原势。这些新奇的结构和性质在电子器件和能量转化器件的设计中有潜在应用。
最近,昆士兰科技大学寇良志课题组的CSC访问学者鞠林发表综述,论述了二维Janus范德华异质结的最新研究进展,文章概述了几类二维Janus范德华异质结的基本性质,包括电子结构、界面接触电阻和光学性质,讨论了其在电子器件和能量转化器件中的潜在应用,并分析了此类新型异质结在未来研究中的挑战和潜在发展方向。
近年来,以石墨烯、石墨相氮化碳(g-C3N4)、二硫化钼(MoS2)、磷烯和二维过渡金属碳氮化物(MXenes)为代表性的二维层状材料,由于其卓越的电学/力学性质以及在纳米器件中的潜在应用价值,引起广泛的研究兴趣。与单一组分材料不同,范德华异质结包含多组分层状材料,因而它为发现新奇特性和潜在应用提供更多可能。范德华异质结层间耦合较弱,各个组分的多数内禀属性得以保存,因而在异质结中有可能将这些优势结合起来,并克服单一组分材料的缺点,比如低量子效率、严重的电荷复合和化学逆反应。基于范德华异质结的多种纳米器件已被研制或设计出来,比如场效应管、太阳能电池、发光二极管和光电探测器等。
在种类众多的二维范德华异质结中,Janus异质结是一个特别的存在,它的至少一个组分是Janus结构层状材料。不同于传统的范德华异质结,单层Janus材料具有内禀的非对称面外电偶极矩,它与层间极化场的耦合为调控异质结的物理/化学性质提供一个新的自由度,从而产生新奇性质和潜在应用价值(图1)。

图 1 二维Janus 范德华异质结的基本性质和潜在应用。
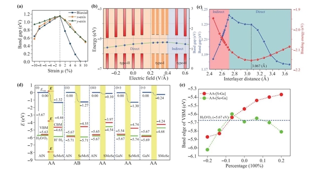
二维Janus范德华异质结中,由于层内、层间极化和应变导致的晶格失配,带隙极易受到外部条件(比如应变和电场)的影响(图2a-c)。此外,异质结两个组分之间的能带排列决定了光吸收和电荷分离。而这些性质与光伏和光催化应用密切相关。而Janus异质结的能带排列可以通过改变材料的堆叠方式——进而改变Janus材料的本征极化来——调控(图2d,e)。

图 2(a)MoSSe–WSSe范德华异质结中应变对能隙的调控;(b)In2STe-InSe范德华异质结中电场对能隙和能带边带位置的调控;(c)In2STe-InSe范德华异质结中层间距对结合能和能隙的调控。(d)MoSSe-AlN和MoSSe-GaN垂直异质结中不同堆叠对能带边带位置的影响;(e)不同堆叠的MoSSe–GaN 垂直异质结的价带最大值对应变的依赖关系。[引自:Phys. Chem. Chem. Phys. 22(9), 4946 (2020); Appl. Surf. Sci. 509, 145317 (2020); Prog. Nat. Sci. 29(3), 335 (2019)]
一些研究表明二维Janus范德华异质结在压电、热电和光电器件中有潜在的应用。在石墨烯和二维MoSSe/MoSeTe三明治结构中(图3),光生载流子从 MoSSe/MoSeTe到两侧的石墨烯层在数百飞秒范围内有明显的优势方向。这个性质源于MoSSe/MoSeTe层的内建电场导致的非对称势。

图 3 左:石墨烯-MoSSe/MoSeTe-石墨烯范德华异质结。右:载流子分离能带图。Janus过渡金属硫化物层的能带从重硫族原子一侧(Se和Te)倾斜到轻硫族原子(S和Se)一侧。[引自:J.Phys. Chem. Lett. 11(10), 4070 (2020)]
由于独特结构和复杂的层内-层间极化相互作用,二维Janus范德华异质结表现出新的物理化学性质,例如可调带隙和带边位置、宽光吸收谱、可控接触电阻和高氧化还原势。这些优异的电学和光学性质赋予二维Janus范德华异质结在能量转换和电子器件方面巨大的潜在应用价值。
目前,二维Janus范德华异质结的研究仍处于起步阶段,且主要集中在理论研究层面。未来的发展面临诸多挑战和机遇,比如实验上高质量二维Janus范德华异质结的合成和光催化中异质结的稳定性等问题。
摘要
Two-dimensional Janus van der Waals (vdW) heterojunctions, referring to the junction containing at least one Janus material, are found to exhibit tuneable electronic structures, wide light adsorption spectra, controllable contact resistance, and sufficient redox potential due to the intrinsic polarization and unique interlayer coupling. These novel structures and properties are promising for the potential applications in electronics and energy conversion devices. To provide a comprehensive picture about the research progress and guide the following investigations, here we summarize their fundamental properties of different types of two-dimensional Janus vdW heterostructures including electronic structure, interface contact and optical properties, and discuss the potential applications in electronics and energy conversion devices. The further challenges and possible research directions of the novel heterojunctions are discussed at the end of this review.
作者简介
鞠林,安阳师范学院校特聘教授。2014年博士毕业于山东大学物理学院。随后,作为高层次人才到安阳师范学院物理与电气工程学院开展科研教学工作。2016-2018年,山东大学原子分子物理研究所博士后;2018年11月,晋升为副教授。2019-2020年,昆士兰科技大学CSC访问学者。2021年1月,受聘为安阳师范学院校特聘教授。主要从事半导体光催化性能的理论研究。在J. Am. Chem. Soc.、ACS Appl. Mater. Interfaces、J. Mater. Chem. A等国际知名期刊上以第一作者身份发表SCI论文19 篇,主持国家自然科学基金2项、省部级科研项目1项、地厅级科研项目2项。
寇良志,2011年博士毕业于南京航空航天大学纳米研究所,2010-2011年在内华达大学拉斯维加斯校区做访问学者,2012-2014年在德国不莱梅大学做洪堡学者,2014-2015年在澳大利亚新南威尔士大学做博士后,2015-2108年获得澳大利亚研究理事会DECRA Fellow(优青)。2015年起作为Lecturer任教于昆士兰科技大学(QUT),2017升任为Senior Lecturer。主要研究方向为二维材料的力电磁耦合、拓扑绝缘体、二维铁电及多铁材料及其在能源转换和存储方面的应用。现已发表论文120余篇,包括J. Am. Chem. Soc.、Nano Lett.、ACSNano、Adv. Mater.,引用超过5000次。
更多阅读请点击:
Qian Niu, Advances on topological materials, Front. Phys. 15(4), 43601 (2020)
Special Collection: Recent Advances in Topological Materials (Eds. Yugui Yao, Xiangang Wan, Shengyuan A. Yang, Hua Chen).
Special Collection: Inorganic Two-Dimensional Nanomaterials (Eds. Changzheng Wu & Xiaojun Wu).
Special Collection: Graphene and other Two-Dimensional Materials (Eds. Kostya Novoselov, Daria Andreeva, Wencai Ren & Guangcun Shan).
Special Collection: Heterojunction and Its Applications (Ed. Chenghua Sun).
Special Collection: Solar Energy Storage and Applications (Eds. Min Liu and Haotian Wang).
Frontiers of Physics (FOP)期刊简介
Frontiers of Physics (FOP,IF 2.502)是由教育部发起、高教社出版、Springer海外发行的Frontiers系列英文学术期刊之一,旨在报道国际物理学领域的最新成果和研究进展,主要发表Topical Review、Review、Research Article、View & Perspective、Research Highlight,也委托专家组织特定前沿主题的专题。现任总主编:赵光达院士;执行主编:李定平教授;主编:龙桂鲁教授(量子计算与量子信息)、张卫平教授(AMO)、王楠林教授(凝聚态与材料物理)、李海波教授(核物理/粒子物理/天体物理与宇宙学)。期刊已被SCI, JCR, ADS, SCOPUS, INSPEC, Google Scholar, CSCI, CSCD等收录。2013-2018入选中国科技期刊提升计划资助项目,2019年入选中国科技期刊卓越行动计划资助项目。
《前沿》系列英文学术期刊
由教育部主管、高等教育出版社主办的《前沿》(Frontiers)系列英文学术期刊,于2006年正式创刊,以网络版和印刷版向全球发行。系列期刊包括基础科学、点点官方网站入口、工程技术和人文社会科学四个主题,是我国覆盖学科最广泛的英文学术期刊群,其中13种被SCI收录,其他也被A&HCI、Ei、MEDLINE或相应学科国际权威检索系统收录,具有一定的国际学术影响力。系列期刊采用在线优先出版方式,保证文章以最快速度发表。
高等教育出版社入选“中国科技期刊卓越行动计划”集群化项目。Frontier系列期刊中:13种被SCI收录;1种被A&HCI收录;6种被Ei收录;2种被MEDLINE收录;11种中国科技核心期刊;16种被CSCD收录。
中国学术前沿期刊网
http://journal.hep.com.cn

特别声明:本文转载仅仅是出于传播信息的需要,并不意味着代表本网站观点或证实其内容的真实性;如其他媒体、网站或个人从本网站转载使用,须保留本网站注明的“来源”,并自负版权等法律责任;作者如果不希望被转载或者联系转载稿费等事宜,请与我们接洽。